Background - Fourier Trasnform
use of sinusoids to represent temperature distribution
Any continuous periodic signal can be expressed as the weighted sum of sine and cosine waves.

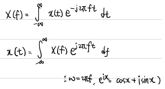
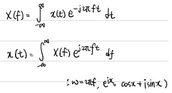
Fourier Transform

Time domain과 Frequency domain의 전환은 위와 같다.

Background의 설명처럼, 어떤 신호도 주기성을 가지는 함수의 조합으로 나타낼 수 있는 점을 이용해, 우리는 신호를 분해할 수 있다. 그림처럼, 어떤 신호가 동일한 주기성을 가지는 sin함수와의 곱을 적분하면, 0이 아닌 값을 가지게 된다.
다른 한편, cosine의 역할은 주기의 delay를 나타내는 데 사용된다.

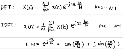
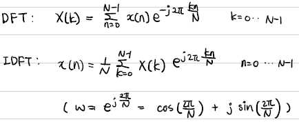
Fourier Transform Group

Discrete Fourier Transform, DFT
Input: finite sequence of real or complex numbers

Fourier Transform

2D DFT for Image

Low Pass Filter
Ideal Low Pass Filter, ILPF

Smoothing filter이다. High frequency 차단으로 인해 IFT시 "ringing effect"를 야기한다. 노이즈 제거에 사용된다.

Butterworth Low Pass Filter, BLPF

ILPF보다 부드러운 Smoothing을 할 수 있다. n이 클수록 sharp 해진다. ILPF와 마찬가지로, "ringing effect"가 발생한다.

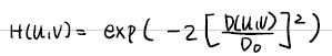
Gaussian Low Pass Filter, GLPF

Tight control이 필요하면, ILPF와 BLPF를 사용한다. GLPF는 tight하지는 않다. 대신 ringing effect가 없다.

High Pass Filter


Centering
1차원에서 FT 결과는 다음과 같이 나타날 수 있다.

M 주기를 가지도록 표현하고 싶다. $f(x)(-1)^{M/2}$

이미지에도 적용할 수 있다.

Inherent Periodicity Problem
함수들이 주기성을 가지기에 Inf 반복해서 신호가 나타나는 것처럼 계산이 된다. 이런 현상에 의한 원치 않는 축척의 결과를 wrap-around error라고 하며 이를 방지하기 위해, zero padding이 필요하다.

'대학교 > 컴퓨터비전' 카테고리의 다른 글
| [CS/컴퓨터비전] 6. Object Recognition (0) | 2022.06.11 |
|---|---|
| [CS/컴퓨터비전] 5. Segmentation (0) | 2022.06.11 |
| [CS/컴퓨터비전] 4. Segmentation (0) | 2022.04.20 |
| [CS/컴퓨터비전] 2. Image Filtering (0) | 2022.04.14 |
| [CS/컴퓨터비전] 1. Image Intensity (0) | 2022.04.14 |